Miten palvelumme toimii?
Voit täyttää hakemuksen tämän sivun yläreunassa. Palvelun kautta kilpailutat lainahakemuksesi useilla pankeilla ja rahoitusyhtiöillä. Palvelussa hyödynnetään useaa lainanvälittäjää, jotta löydät parhaan lainan juuri sinun tarpeisiisi. Lainanvälittäjien kautta tavoitamme jopa 35 pankkia ja rahoitusyhtiötä. Jos haluat lisätietoja palvelusta tai haluat nähdä listan kumppaneistamme, klikkaa tästä.
Onko sinulla kysttävää?
Lähetä meille viesti osoitteeseen [email protected]
Miksi kysymme henkilötunnusta?
Henkilötunnuksen avulla pystymme tunnistamaan sinut parhaiten: sitä käytetään tekemään analyysi luottokelpoisuudestasi, jonka avulla pystymme tarjoamaan juuri sinulle parhaiten sopivaa ja edullisinta lainaa. Mikä parasta, henkilötunnuksen avulla voimme antaa sinulle luottopäätöksen heti ilman turhaa paperisotaa.
Sivustomme ja yhteytesi ovat palomuurein, salasanoin ja muin teknisin keinoin suojattuja. Olemme suomalainen luotettava toimija ja hakemuksesi lähetetään vain Finanssivalvonnan hyväksymille rahoituslaitoksille. Lantti.fi ei ole lainanvälittäjä vaan markkinoi luottolaitosten tuotteita yhteistyökumppaneidemme luvalla. Tämä tarkoittaa, että saat tarjouksen kattavasti lähes kaikilta Suomessa lainaa myöntäviltä yrityksiltä. Palvelumme kautta voit saada tarjouksen jopa yli 25 rahoituslaitokselta ja pankilta.
Voit siis hakea lainaa huoletta ja turvallisesti.
Lainojen kilpailuttaminen omin voimin ei ole aina helppoa. Pankit ja netin rahoitusyhtiöt markkinoivat luottojaan innokkaasti ja kukin vakuuttaa olevansa se paras ja edullisin vaihtoehto. Lantti.fi tarjoaa uudenlaisen ratkaisun lainojen kilpailuttamiseen.

Lainaa ilman vakuuksia netistä
Lantti.fi on 100 % kotimainen palvelu, jonka avulla voit kilpailuttaa lainahakemuksesi käden käänteessä yli 15 pankilla ja muulla rahoitusalan toimijalla kokonaan netissä. Tarjoamme palvelua myös Creditum.fi brändillä.
Miksi lainojen kilpailuttaminen on vaikeaa?
Vaikka kuka tahansa voi kilpailuttaa oman lainansa, usein se vaatii paljon työtä. Työmäärä voi tuntua kohtuuttomalta etenkin, jos haussa on pelkkä pieni kulutusluotto eikä vaikkapa asuntolaina. Lainaa ei kuitenkaan juuri koskaan kannata hakea ilman kilpailuttamista tai maksat todennäköisesti luotostasi aivan liikaa.
4 yleistä lainojen vertailun haastetta
- Lainojen hintoja voi toki kuka tahansa vertailla suuntaa-antavasti nettihakuja tekemällä. Ongelmana tässä on kuitenkin, että etenkään perinteiset pankit eivät aina ilmoita lainojen hintoja selkeästi verkkosivuillaan. Lainapäätökset tehdään yksilöllisesti kullekin asiakkaalle erikseen.
- Jos haussa on pankin ulkopuolinen kulutusluotto, lainojen tiedot ja hinnat on yleensä helppo löytää netistä. Tällöin ongelmaksi muodostuu kuitenkin ylettömän runsas tarjonta. Netissä on niin monta erilaista kulutusluottoa, että itselle parhaiten juuri parhaiten sopivan valitseminen on valtava urakka.
- Kolmas vertailuun liittyvä ongelma koskee netissä toimivia huijariyrityksiä. Osa kulutusluotoista on ylihinnoiteltuja, niissä on kätkettyjä kuluja tai perintä toimii lainvastaisesti. Tällaisia ongelmatapauksia voi olla satunnaisen hakijan mahdotonta tunnistaa.
- Neljäs haaste liittyy lainayritysten toisistaan poikkeaviin lainaehtoihin. Vaikka jokin laina kuluttajan mielestä saattaisi näyttää silmämääräisesti hyvältä, yrityksen asettamat tiukat vaatimukset voivat estää lainan saamisen. Tällaisia rajoituksia voivat olla esimerkiksi alaikäraja, yläikäraja, tulorajat tai kansalaisuuteen liittyvät rajoitukset. Eri yritysten pikkupräntin selaamiseen kuluu paljon aikaa.
Näin Lantti.fi auttaa hakemaan lainaa
Lantti.fi on uudenlainen lainapalvelu, joka kokoaa yhteen yli 20 luotettavaksi tiedettyä pankkia ja muuta rahoitusyhtiötä. Hakemuksesi lähetetään lainanvälittäjäyhteistyökumppaniemme kautta yrityksille, joilla on Suomen Finanssivalvonnan hyväksyntä.
Lähettämällä yhden hakemuksen sivustomme kautta voit pyytää kerralla tarjouksen usealta yritykseltä. Näin lainan kilpailuttaminen tapahtuu helposti.
Lantti.fi-kilpailutuspalvelun avulla lainaa etsivä kuluttaja säästyy paljolta vaivalta. Lisäksi lainanhakuun liittyvät riskit pienenevät, sillä kaikki lainayritykset, joille hakemuksesi lähetetään, ovat hyvässä maineessa.
Saat sähköpostiisi parhaat tarjoukset
Hakulomakkeella ilmoitat meille..
- Perustietosi
- Toivomasi luoton suuruuden
- Laina-ajan
Yhteistyökumppaninne kilpailuttaa lainahakemuksesi tältä pohjalta ja lähetää lopuksi sopivimmat ja edullisimmat tarjoukset suoraan sähköpostiisi.
Saat rauhassa tutustua tarjouksiin. Tarjoukset eivät sido sinua, vaan voit tässä vaiheessa itse päättää, otatko yhden tarjouksista vastaan vai torjutko ne kaikki. Jos päätät, että jokin lainatarjouksista on sinulle sopiva, siirryt asioimaan henkilökohtaisesti kyseisen pankin tai rahoitusyrityksen kanssa.
Lantti.fi ei itse myönnä lainaa vaan kilpailuttaa muiden tarjoamia lainoja yhteistyökumppaniensa kautta.
Maksaako Lantti.fi-palvelu jotakin?
Lantti.fi-kilpailutuspalvelun käyttäminen on asiakkaalle täysin ilmaista. Tämä voi kuulostaa oudolta, mutta selitys on yksinkertainen: Lantti.fi saa tulonsa yhteistyökumppaneiltaan.
Kuluttajalle lainan kilpailuttaminen Lantti.fi-palvelun avulla on siksi yksinkertaisesti järkevää. Palvelumme säästää aikaa, vaivaa ja rahaa.
Lainojen kulut – miten todellinen vuosikorko lasketaan ja miten lainojen hintoja vertaillaan
Todellinen vuosikorko on lainojen hintavertailun A ja O. Silti lainojen hintoja arvioitaessa on toisinaan otettava huomioon myös muita mittareita. Lue tästä, miten todellinen vuosikorko toimii ja miten lainojen hintoja vertaillaan.
Älä unohda huomioida kaikkia lisäkuluja
Osa kilpailuttajista laskee todellisen vuosikoron tarkan kaavan mukaisesti, osa puolestaan yrittää arvioida sitä silmämääräisesti. Molemmissa tapauksissa yksi asia on syytä muistaa: vertailussa tulee huomioida kaikki lainaan liittyvät kulut.
Monet pankit ja lainayritykset yrittävät vähätellä tarjoamiensa lainojen vuosikorkoa esimerkiksi painottamalla pelkkää nimelliskorkoa. Kuitenkin nykyään aina vain isompi osa todellisesta vuosikorosta koostuu lainojen lisäkuluista.
Pidä lainan hintaa arvioidessasi silmällä muun muassa seuraavia nimelliskorkoon sisältymättömiä kuluja:
- Lainan avausmaksu, perustamismaksu tai sopimusmaksu, joka peritään kertaluonteisesti lainasopimusta solmittaessa.
- Kuukausimaksut, lainanhoitomaksut tai laskutuslisät, jotka peritään joka kuukausi.
- Vuosimaksut, jotka peritään kerran vuodessa.
Milloin todellinen vuosikorko ei toimi?
Eri mittaisia lainoja ei voi suoraan verrata keskenään todellisen vuosikoron avulla. Tästä huolimatta todellinen vuosikorko toimii jossakin määrin järkevänä apuvälineenä, kunhan vertailtavien lainojen maksuaika on vähintään yksi vuosi.
Sen sijaan menetelmä pettää täysin, kun mukaan otetaan lyhyitä lainoja. Esimerkiksi jos ottaa pikavippiä ja maksuaika on 30 vuorokautta, sen todellinen vuosikorko nousee helposti moneen sataan prosenttiin. Tästä huolimatta käytännössä vipin hinta ei välttämättä ole täysin kohtuuton, sillä korkoa ei todellisuudessa peritä kuin kuukauden ajalta.
Vaihtoehtoisesti voit vertailla euromääräisiä kuluja
Vaihtoehto todelliselle vuosikorolle on lainojen euromääräisten kulujen vertaileminen. Tällä menetelmällä on kaksi keskeistä käyttötapaa:
- Euromääräisten kulujen vertaileminen tekee oikeutta alle vuoden mittaisille lainoille paremmin kuin todellinen vuosikorko.
- Euromääräisten kulujen huomioiminen paljastaa, kuinka kalliiksi pitkät maksuajat velalliselle koituvat. Vaikka pitkä maksuaika tekee lainasta lyhyellä tähtäimellä helpommin hallittavan, kulut nousevat aina maksuajan venyessä.
Mikä on todellinen vuosikorko?
Todellinen vuosikorko on lainan korko, johon on laskettu mukaan paitsi nimelliskorko myös kaikki lainan lisäkulut. Luoton todellinen vuosikorko pitää lain mukaan ilmoittaa selkeästi lainaa kaupattaessa.
Todellisen vuosikoron avulla voidaan vertailla parhaiten sellaisten lainojen hintoja, joilla on keskenään identtinen lainasumma ja maksuaika.
Näin lasket lainan todellisen vuosikoron
Lainan todellista vuosikorkoa ei ole aivan vaivatonta laskea omin voimin, ainakaan jos yrittää kilpailuttaa montaa lainavaihtoehtoa.
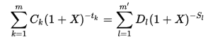
Oikeaoppinen todellisen vuosikoron kaava löytyy tiiviissä muodossa suomalaisesta Wikipediasta:
Todellinen vuosikorko selviää ratkaisemalla seuraavasta yhtälöstä X ja kertomalla se 100 prosentilla:
X = todellinen vuosikorko
m = viimeisen nostoerän järjestysnumero
k = nostoerän numero, joten 1 ≤ k ≤ m
Ck = nostoerän k määrä
tk = vuosina ja vuosien osina ilmaistu ensimmäisen nostoerän nostopäivän ja kunkin myöhemmän nostoerän nostopäivän välinen aika, jolloin t1 = 0
m' = viimeisen takaisinmaksun tai maksun numero
l = takaisinmaksun tai maksun numero
Dl = takaisinmaksun tai maksun määrä
sl = vuosina ja vuosien osina ilmaistu ensimmäisen nostoerän nostopäivän ja kunkin takaisinmaksun tai maksun maksupäivän välinen aika
Lantti.fi löytää halvimman lainan helposti
Lainan hakijan on hyvä ymmärtää, millä periaatteilla hän voi vertailla lainojen hintoja. Näin kunkin hakijan on mahdollista valita itselleen paras laina ja sopivin maksuaika sekä välttää mahdolliset huijausyritykset, joita etenkin netissä on runsaasti liikkeellä.
- Helppo: Lantti.fi-verkkopalvelu on kätevä tapa helpottaa lainojen vertailemista.
- Tehokas: palvelun kautta asiakas voi lähettää hakemuksen, jonka avulla yhteistyökumppanimme kilpailuttaa yli kymmenen pankin ja rahoitusyhtiön välillä.
- Henkilökohtainen: parhaat tarjoukset toimitetaan hakijan sähköpostiin.
- Ei sitoumuksia: jos jokin tarjouksista miellyttää hakijaa, hän voi hyväksyä sen ja ottaa lainan. Jos yksikään tarjouksista ei hakijaa kiinnosta, hän voi yksinkertaisesti hylätä kaikki
- Ei kuluja: kilpailutuspalvelun käyttäminen on kuluttajalle ilmaista alusta loppuun saakka.
- Luotettava ja kotimainen: Lantti.fi on luotettava palvelu, jonka kautta jo tuhannet suomalaiset ovat löytäneet sopivan luoton. Palvelun kautta välitetään lainaa vain hyvämaineisilta pankeilta ja rahoitusyhtiöiltä.

